*아래 글은 부스트캠프 AI Tech 3기 안수빈 마스터님의 강의를 정리 및 재구성한 내용입니다.
Data Visualization
2-2. Bar Plot
1) Bar Plot이란?
Bar Plot
- 직사각형 막대를 사용하여 데이터의 값을 표현하는 차트/ 그래프
- 막대 그래프, bar, chart, bar graph 등의 이름으로 사용됨
- 범주(category)에 따른 수치 값을 비교하기에 적합한 방법
2) Bar Plot 그리기
기본 Bar Plot
- bar() : 기본적인 bar plot / x 축에 범주, y축에 값을 표기
- barh() : horizontal bar plot / y축에 범주, x 축에 값을 표기 / 범주가 많을 때 적합
import numpy as np
import pandas as pd
import matplotlib as mpl
import matplotlib.pyplot as plt
fig, axes = plt.subplots(1, 2, figsize=(12, 7))
x = list('ABCDE')
y = np.array([1, 2, 3, 4, 5])
axes[0].bar(x, y)
axes[1].barh(x, y)
plt.show()

* 막대 그래프 색 설정 : 막대 그래프의 색은 전체를 변경하거나, 개별로 변경할 수 있다.
fig, axes = plt.subplots(1, 2, figsize=(12, 7))
x = list('ABCDE')
y = np.array([1, 2, 3, 4, 5])
clist = ['blue', 'gray', 'gray', 'gray', 'red']
color = 'green'
axes[0].bar(x, y, color=clist)
axes[1].barh(x, y, color=color)
plt.show()

3) 여러 Group이 있을 때의 Bar Plot 그리기
데이터 살펴보기
* 데이터 : Student Score Dataset 사용
데이터 살펴 보기
student = pd.read_csv('./StudentsPerformance.csv')
student.sample(5) # head 보다 sample을 선호 - head는 위에서부터 5개, sample은 전체에서 5개 샘플링해서 보여줌

결측치 확인, dtype 파악하기
student.info() # 결측치 확인, dtype 파악

통계 정보 살펴보기
student.describe(include='all') # 통계 정보 살펴보기

그룹에 따른 정보를 시각화하기 - 성별에 따른 race/ethnicity 분포
group = student.groupby('gender')['race/ethnicity'].value_counts().sort_index()
display(group)
print(student['gender'].value_counts())

Multiple Bar Plot
- 기본적으로 그리기
fig, axes = plt.subplots(1, 2, figsize=(15, 7))
axes[0].bar(group['male'].index, group['male'], color='royalblue')
axes[1].bar(group['female'].index, group['female'], color='tomato')
plt.show()

- 여기서 두 그룹을 제대로 비교하기 위해선 y축 범위를 맞춰 주어야 한다
- 'sharey' 파라미터를 사용하여 y축의 범위를 공유할 수 있다
fig, axes = plt.subplots(1, 2, figsize=(15, 7), sharey=True) # y축을 공유한다
axes[0].bar(group['male'].index, group['male'], color='royalblue')
axes[1].bar(group['female'].index, group['female'], color='tomato')
plt.show()

- y축의 범위를 개별적으로 조정할 수도 있다. 이렇게 할 때에는 반복문을 사용하여 조정하는 방법을 권장한다
fig, axes = plt.subplots(1, 2, figsize=(15, 7))
axes[0].bar(group['male'].index, group['male'], color='royalblue')
axes[1].bar(group['female'].index, group['female'], color='tomato')
for ax in axes: # 모든 axes에 대해 y축 범위를 0~200으로 조정한다.
ax.set_ylim(0, 200)
plt.show()

* multiple bar plot은 그래프가 겹치지 않아서 보기에는 편하지만, group 간의 비교가 어렵다는 단점이 있다
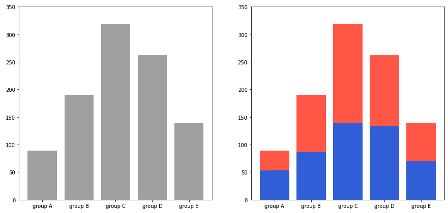
Stacked Bar Plot
- 쌓아서 보면 그룹 A, B, C, D, E에 대한 전체 비율은 알기가 쉽다
- bottom 파라미터를 사용해서 아래 공간을 비워둘 수 있다
fig, axes = plt.subplots(1, 2, figsize=(15, 7))
group_cnt = student['race/ethnicity'].value_counts().sort_index()
axes[0].bar(group_cnt.index, group_cnt, color='darkgray')
axes[1].bar(group['male'].index, group['male'], color='royalblue')
# bottom : female 그래프의 아래 부분을 male 그래프만큼 비워둔다
axes[1].bar(group['female'].index, group['female'], bottom=group['male'], color='tomato')
for ax in axes:
ax.set_ylim(0, 350)
plt.show()

- Stacked Bar Plot은 가장 아래에 있는 bar의 분포는 파악이 쉽지만 그 외 분포들은 파악이 어렵다
- Stacked Bar Plot을 응용하여 전체 중에서 비율을 나타내는 Percentage Stacked Bar Chart도 있다
fig, ax = plt.subplots(1, 1, figsize=(12, 7))
group = group.sort_index(ascending=False) # 역순 정렬
total=group['male']+group['female'] # 각 그룹별 합
ax.barh(group['male'].index, group['male']/total,
color='royalblue')
ax.barh(group['female'].index, group['female']/total,
left=group['male']/total,
color='tomato')
# percent 표시하기
for index, g in enumerate(group['male']):
percent = (group['male']/total)[index]
ax.text(percent/2, index, f"{percent * 100 : .1f}%", ha = 'center', fontweight='bold')
for index, g in enumerate(group['female']):
percent = (group['female']/total)[index]
ax.text(1- percent/2, index, f"{percent * 100 : .1f}%", ha = 'center', fontweight='bold')
ax.set_xlim(0, 1)
for s in ['top', 'bottom', 'left', 'right']: # 테두리 없애기
ax.spines[s].set_visible(False)
plt.show()

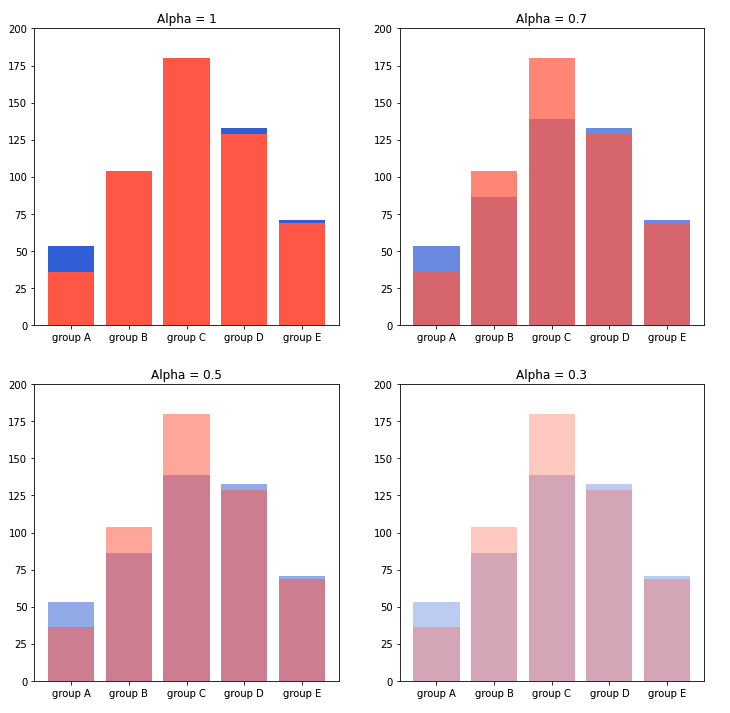
Overlapped Bar Plot
- 2개의 그룹만 있을 때에는 두 그래프를 겹쳐서 보는 방법도 있다
- 같은 축을 사용하기 때문에 비교가 쉽고, alpha라는 파라미터를 이용해 투명도를 조정하여 겹치는 부분을 파악할 수 있다
group = group.sort_index() # 다시 정렬
fig, axes = plt.subplots(2, 2, figsize=(12, 12))
axes = axes.flatten()
for idx, alpha in enumerate([1, 0.7, 0.5, 0.3]):
axes[idx].bar(group['male'].index, group['male'],
color='royalblue',
alpha=alpha)
axes[idx].bar(group['female'].index, group['female'],
color='tomato',
alpha=alpha)
axes[idx].set_title(f'Alpha = {alpha}')
for ax in axes:
ax.set_ylim(0, 200)
plt.show()

Grouped Bar Plot
- 그룹 별 범주에 따른 bar를 이웃되게 배치하는 방법
- 가장 권장하는 방식
- Matplotlib으로는 비교적 구현이 까다로움(seaborn에서 구현이 쉬움)
- 앞에 소개한 bar plot들도 마찬가지로, 그룹이 5개~7개 이하일 때 효과적이다
- 그룹이 많다면 빈도가 적은 그룹은 ETC 처리를 하는 등 사전에 처리를 하자
* matplotlib에서 grouped bar plot 만들기 →
x축 조정 & with 조정 & xticks, xticklabels
fig, ax = plt.subplots(1, 1, figsize=(12, 7))
idx = np.arange(len(group['male'].index))
width=0.35
ax.bar(idx-width/2, group['male'],
color='royalblue',
width=width, label='Male')
ax.bar(idx+width/2, group['female'],
color='tomato',
width=width, label='Female')
ax.set_xticks(idx)
ax.set_xticklabels(group['male'].index)
ax.legend()
plt.show()

- 그룹이 3개 이상일 때에는 matplotlib으로 grouped bar plot을 어떻게 그리면 좋을까?
- 그룹의 개수에 따라 막대그래프의 x 좌표는 다음과 같이 변한다
- 2개 : -1/2, +1/2
- 3개 : -1, 0, +1 ( -2/2, 0, +2/2)
- 4개 : -3/2, -1/2, 0, +1/2, +3/2
- 규칙을 보면, -(N-1)/2부터 + (N-1)/2까지 분자에 2간격으로 커지는 것을 알 수 있다
- 그렇다면 index i(zero-index)에 대해서는 다음과 같이 x 좌표를 계산할 수 있다
x + (-N + 1 + 2*i)/2 * width
- 그러면 인종/민족 그룹에 따른 Parental Level of Education을 Grouped Bar Plot으로 그려보자
group = student.groupby('parental level of education')['race/ethnicity'].value_counts().sort_index()
group_list = sorted(student['race/ethnicity'].unique())
edu_lv = student['parental level of education'].unique()
fig, ax = plt.subplots(1, 1, figsize=(13, 7))
x = np.arange(len(group_list))
width=0.12
for idx, g in enumerate(edu_lv):
ax.bar(x+(-len(edu_lv)+1+2*idx)*width/2, group[g],
width=width, label=g)
ax.set_xticks(x)
ax.set_xticklabels(group_list)
ax.legend()
plt.show()

4) Bar Plot Tips
정확한 Bar Plot 그리기
- 잉크 비례의 원칙
색조를 넣은 영역이 수치값을 나타낼 때, 색조가 들어간 영역의 면적은 해당값과 정비례 해야한다.
즉, 실제값과 그에 표현되는 그래픽으로 표현되는 잉크 양은 비례해야 한다.
- 잉크 비례의 원칙에 따라, bar plot의 y축 시작 값은 0이어야 한다
score = student.groupby('gender').mean().T
score

fig, axes = plt.subplots(1, 2, figsize=(15, 7))
idx = np.arange(len(score.index))
width=0.3
for ax in axes:
ax.bar(idx-width/2, score['male'],
color='royalblue',
width=width)
ax.bar(idx+width/2, score['female'],
color='tomato',
width=width)
ax.set_xticks(idx)
ax.set_xticklabels(score.index)
axes[0].set_ylim(60, 75) # 잉크 비례의 원칙 위반
axes[0].set_title('Violate the principle of proportion ink')
axes[1].set_title('Folllow the principle of proportion ink')
plt.show()

- 두 데이터 간의 차이를 강조하고 싶은 거라면 그래프를 자르지 말고 plot의 세로 비율을 늘려라
fig, ax = plt.subplots(1, 1, figsize=(6, 10))
idx = np.arange(len(score.index))
width=0.3
ax.bar(idx-width/2, score['male'],
color='royalblue',
width=width)
ax.bar(idx+width/2, score['female'],
color='tomato',
width=width)
ax.set_xticks(idx)
ax.set_xticklabels(score.index)
plt.show()

적절한 공간 활용
- 시각화를 좀 더 효과적으로 할 수 있는 다양한 공간 테크닉들은 다음과 같다
- X/Y axis Limit (.set_xlim(), .set_ylime())
- Margins (.margins())
- Gap (width)
- Spines (.spines[spine].set_visible())
- 대조군을 위해 2개의 같은 플롯을 그려보자 ( 하나는 기본, 하나는 여백공간을 두고 테두리 조정 )
group_cnt = student['race/ethnicity'].value_counts().sort_index()
fig = plt.figure(figsize=(15, 7))
ax_basic = fig.add_subplot(1, 2, 1)
ax = fig.add_subplot(1, 2, 2)
ax_basic.bar(group_cnt.index, group_cnt)
ax.bar(group_cnt.index, group_cnt,
width=0.7,
edgecolor='black',
linewidth=1,
color='royalblue'
)
ax.margins(0.1, 0.1) # 그래프 여백 공간
for s in ['top', 'right']: # 테두리 조정
ax.spines[s].set_visible(False)
plt.show()

복잡함과 단순함
- 정보량이 너무 많으면 강조하고자 하는 것이 잘 전달되지 않을 수 있고, 정보량이 너무 적으면 데이터를 오해할 수 있다.
- 복잡함과 단순함 사이의 중간점을 잘 찾아야 한다
- 그리드나 텍스트를 추가하여 어떤 게 더 좋을지 고민을 해볼 수 있다
group_cnt = student['race/ethnicity'].value_counts().sort_index()
fig, axes = plt.subplots(1, 2, figsize=(15, 7))
for ax in axes:
ax.bar(group_cnt.index, group_cnt,
width=0.7,
edgecolor='black',
linewidth=2,
color='royalblue',
zorder=10
)
ax.margins(0.1, 0.1)
for s in ['top', 'right']:
ax.spines[s].set_visible(False)
axes[1].grid(zorder=0)
for idx, value in zip(group_cnt.index, group_cnt):
axes[1].text(idx, value+5, s=value,
ha='center',
fontweight='bold'
)
plt.show()

오차 막대 추가
- 오차막대(errorbar)를 사용하여 편차 등의 정보를 추가할 수 있다
score_var = student.groupby('gender').std().T
score_var

fig, ax = plt.subplots(1, 1, figsize=(10, 10))
idx = np.arange(len(score.index))
width=0.3
ax.bar(idx-width/2, score['male'],
color='royalblue',
width=width,
label='Male',
yerr=score_var['male'],
capsize=10
)
ax.bar(idx+width/2, score['female'],
color='tomato',
width=width,
label='Female',
yerr=score_var['female'], # y축 범위로 에러
capsize=10
)
ax.set_xticks(idx)
ax.set_xticklabels(score.index)
ax.set_ylim(0, 100)
ax.spines['top'].set_visible(False) # 오차 막대 위쪽 막아주기
ax.spines['right'].set_visible(False) # 오차 막대 아래쪽 막아주기
ax.legend()
ax.set_title('Gender / Score', fontsize=20)
ax.set_xlabel('Subject', fontweight='bold')
ax.set_ylabel('Score', fontweight='bold')
plt.show()

'부스트캠프 AI Tech 공부 기록 > Data Visualization' 카테고리의 다른 글
| [Data Viz] Text (feat.Matplotlib) (0) | 2022.02.06 |
|---|---|
| [Data Viz] Matplotlib 사용법 : Scatter Plot (0) | 2022.02.05 |
| [Data Viz] Matplotlib 사용법 : Line Plot (0) | 2022.02.05 |
| [Data Viz] Matplotlib 사용법 : 기본 (0) | 2022.02.03 |
| [Data Viz] 데이터 시각화 개요 (0) | 2022.02.03 |